أقسام الوصول السريع (مربع البحث)

📁 آخر الأخبار

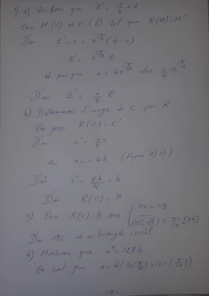
تصحيح الامتحان الوطني لمادة الرياضيات شعبة العلوم التجريبية 2020 bac


تصحيح الامتحان الوطني لمادة الرياضيات شعبة العلوم التجريبية 2020








































الامتحان الوطني لمادة الرياضيات شعبة العلوم التجريبية 2020 




S. Doukalli
S. Doukalli
تعليقات